0%

Graphviz简要语法

Graphviz是一个很强大的图形可视化工具. 它使用DOT语言来描述图形, 但它并不单纯是个绘图软件, 而是能接入程序, 进行函数调用流程, 决策树, 数据结构, 日志系统等图形关系生成, 而且可以是交互式的 (不过我暂时没研究过所以不太了解). 暂且不提这些扩展功能, graphviz的语法允许我们仅通过文字描述能绘制出样式极其丰富的图形, 这大大方便了对图形的改动的跟踪.

有关官方文档

graphviz.org这个网站也不知道是不是停止维护了, 所有除了指向其他人的项目的链接都是无效链接了... 我在上面放的graphviz的官网链接是graphviz的GitLab repo提供的地址. (实际上我觉得这个项目对文档的维护很烂, 描述得很不清楚, 有些地方甚至有错误. 这也是为什么我要自己总结一篇常用语法).

官方给出的有助于编写DOT文件的文档我觉得就这几个:

但其实给我帮助最大的是被graphviz开发组嫌弃的旧版文档 (dot布局版)

❗️ 因为我最常使用的是dot布局所以此处涉及的内容大部分为dot布局下的情况.

基础语法

Hello World

还是先来个Hello World 😏

1
2
3
digraph G{
Hello -> World;
}

常见用法

因为graphviz许多概念解释起来会套娃, 要理解概念A要先理解概念B, 要理解概念B则需要先知道什么是概念A 🤤 因此这里先放上一些常用属性来快速入门.

🌟 不明白到底如何使用属性的话点这里快速跳转后文的实例.

用途 属性名 可选值 作用对象 备注
轮廓颜色 color 可用颜色及颜色主题列表 节点, 边线, 簇
填充颜色 bgcolor 可用颜色及颜色主题列表 簇, 图 fillcolor会覆盖bgcolor
填充颜色 fillcolor 可用颜色及颜色主题列表 节点, 边线, 簇 需要与style=filled一起使用. 如果设置了style=filled但没有设置fillcolor那么color的值将被同时用于轮廓和填充
字体颜色 fontcolor 可用颜色及颜色主题列表 节点, 边线, 簇, 图
箭头方向 dir "forward", "back", "both", "none" 边线 正向/反向/双向/无箭头
箭头形状 arrowhead arrortail 见备注 边线 graphviz提供了极其丰富的箭头形状值, 常用值参见这里, 箭头形状值的完整说明见这里
样式 style 各对象样式说明 节点, 边线, 簇, 图 emmm这个style很难准确地翻译为中文, 因为这个属性被很笼统地赋予了四种对象...总的来说是在描述这个对象长什么样, 是虚线的还是加粗的又或是点点的
边线风格 splines none, line, polyline, curved, ortho, spline 不显示边线/线段 (false)/线段 (true)/弧线/直角折线/常规. 到底什么样详见splines说明 emmmm我感觉polylinespline并没有区别...再次吐槽graphviz开发组的混乱逻辑 😩
label水平对齐方式 labeljust "l", "r" 图, 簇 "l"就是和图/簇的左边界对齐, "r"就是和图/簇的右边界对齐. 如果父级显性设置了这一属性, 子图会继承这一属性. 实际上还有一个可选值, 就是不设置这个属性, 那么label就会居中对齐.
label垂直对齐方式 labelloc "t", "b", "c" 节点, 图, 簇 对于图和簇只有"t"和"b"是可用的, 即标签只能设置在图/簇的顶部或者底部. 如果父级显性设置了这一属性, 子图会继承这一属性. 而对于一个节点, 只有当它的高度大于label这个属性才是可用的.
节点排布方向 rankdir TB, BT, LR, RL 从上到下/从下到上/从左到右/从右到左

Layout (布局)

💡 graphviz有一点不好的是节点在画布上的位置是由算法决定的, 不能完全自己设定, 因此有时候无法让图变得那么美观.

graphviz提供了多种用于排布节点, 边线箭头头部, 边线标签位置的布局算法.

因为了解graphviz的布局算法有助于我们更好的布局, 此处简单翻译一下被现在graphviz开发组嫌弃的旧版文档 (dot布局版)描述的dot布局的图形绘制主要的四步:

  1. 通过反转一些边线的指向来打破输入图形 (我猜这个输入图形说的是.dot文件) 中出现的所有循环 (因为dot布局算法是基于非循环图形的)

  2. 给各节点赋予不同的等级 (rank). (比如在一个top-to-bottom方向的图中等级决定了节点的纵坐标) 连接跨度超过一个等级的节点的边线会被分割成一串"虚拟"节点以及单位长度的边线

    💡 后文会提及对节点的rank是可以进行一些设置的.

  3. 给同等级的节点排序, 避免绘图时出现边线的交叉 (估计只是减少交叉?)

  4. 在让边线尽可能短的情况下设定节点的横坐标, 然后绘制边线 (同样是假设是top-to-bottom方向的图)

下面给出一些主要布局算法的简单说明和图例.

💡 以下布局的图例除了最后一个都来自graphviz-gallary

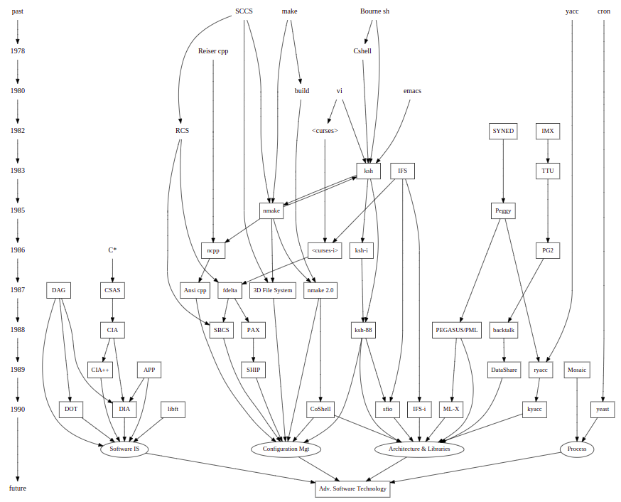
dot

用于绘制有向图, 他的布局算法原理上面已经说了, 特点是绘制出的图很有层次.

❗️ 注意dot布局和DOT语言不是一个东西.

img

neato

用于绘制无向图. neato布局算法的原理是构建一个虚拟物理模型并不断对其迭代最终得到一个最低总能量排布 (low-energy configuration). 这个虚拟物理模型具体指的是在每个节点间放置一个理想弹簧, 这样得到的布局通常很合理. (在统计学中这种算法也被称作多维缩放). neato布局很适合用于通信网络计算机程序的绘制.

💡 当图较大 (超过100个节点)时就该考虑换成fdp或者sfdp布局了

fdp

同样是基于弹簧模型. 区别在于fdp算法的迭代是在试图减小节点间弹簧的力的大小而不是弹簧能量大小.

sfdp

为大规模图而生的多尺度版fdp

上面这个图得自🔗 A Gallery of Large Graphs. 这个网站还有很多很壮观的图😳

twopi

径向布局.

circo

圆形布局. 很适合有许多环路结构的图, 比如电信网络.

有关三种主要描述对象

DOT语言主要描述三种对象: graph, node, edge. 这里分别翻译为, 节点, 边线. 每一种对象有各自可以设置的一组属性.

Graph (图)

最外层的graph (main graph)可以被设定为有向图digraph(directed graph)或是无向图graph(undirected graph). main graph内可以用subgraph来定义一个节点和边线的集合. 也可以通过设定最外层图为strict digraph或者strict graph来禁用multi-edges. 也就是说strict digraph会让有向图中一个指向节点和一个被指向节点间只能有一条边线 (不过反过来还可以有一条, 也就是两节点间最多两条边线), strict graph则会让无向图中两节点间只能有一条边线.

最外层的图又称top-level graph, root graph (反正开发组文档都没能统一这东西的叫法). 图可以有子图 (subgraph), 子图会继承父级的显式设置的大部分属性. 有一种特殊的子图被称为.

Node (节点)

一个节点会在第一次在DOT文件中出现时被创建.

Edge (边线)

一条边线会在几个节点被用->边线操作符连接时被创建.

💡 在graphviz中可以直接用中文作为节点名.

Label (标签)

如果你想要显示的标签中有空格, 那通过把节点名用""括起来可以实现, 当然显式声明标签内容是更好的选择. 而如果你想让一些节点显示相同的标签那就必须显式声明节点的标签了, 因为节点名不能重复.

💡 label中可以使用转义字符比如\n来实现多行标签.

HTML-like Label

为了能提供更丰富的样式, dot布局支持使用HTML语法的HTML-like标签 (看了下似乎其他布局不支持这种东西).

具体可用语法格式参见graphviz官方文档-HTML-Like Labels. 总结下来就是目前支持以下几种类HTML元素:

  • 斜体 <i>
  • 粗体 <b>
  • 下划线 <u>
  • 上划线 <o>
  • 删除线 <s>
  • 下角标 <sub>
  • 上角标 <sup>
  • 指定字体 <font>
  • 换行符 <br />
  • 表格 <table> <tr> <td>
  • 图片 <img>
  • 水平/竖直分割线 <hr> <vr>

❗️ 要注意这种类HTML标签只是借鉴自HTML, 和HTML元素并不完全一样, 因此并不支持html中其他写法和属性. 再比如HTML中是没有上面这个<vr>tag的😅

不得不说类HTML标签确实极大地提升了灵活性, 让我们能写出奇形怪状的节点形状, 能在标签中嵌入图片等, 详情参见graphviz官方文档-HTML-Like Labels. 不过这东西写起来确实麻烦一些...

一个展示类HTML标签能带来的丰富样式的例子

1
2
3
4
5
6
7
8
9
10
11
12
13
14
15
16
17
18
19
20
21
22
23
24
25
26
27
28
29
30
31
32
33
34
35
36
37
38
39
40
41
42
43
44
45
46
47
48
49
50
51
52
53
54
55
56
57
58
digraph G {
rankdir=LR
node [shape=plaintext]
a [
label=<
<TABLE BORDER="0" CELLBORDER="1" CELLSPACING="0">
<TR>
<TD ROWSPAN="3" BGCOLOR="yellow">class</TD>
</TR>
<TR>
<TD PORT="here" BGCOLOR="lightblue">qualifier</TD>
</TR>
</TABLE>
>
]
b [shape=ellipse style=filled
label=<
<TABLE BGCOLOR="bisque">
<TR>
<TD COLSPAN="3">elephant</TD>
<TD ROWSPAN="2" BGCOLOR="chartreuse" VALIGN="bottom" ALIGN="right">two</TD>
</TR>
<TR>
<TD COLSPAN="2" ROWSPAN="2">
<TABLE BGCOLOR="grey">
<TR> <TD>corn</TD> </TR>
<TR> <TD BGCOLOR="yellow">c</TD> </TR>
<TR> <TD>f</TD> </TR>
</TABLE>
</TD>
<TD BGCOLOR="white">penguin</TD>
</TR>
<TR>
<TD COLSPAN="2" BORDER="4" ALIGN="right" PORT="there">4</TD>
</TR>
</TABLE>
>
]
c [
label=<long line 1<BR/>line 2<BR ALIGN="LEFT"/>line 3<BR ALIGN="RIGHT"/>>
]

subgraph { rank=same b c }
a:here -> b:there [dir=both arrowtail=diamond]
c -> b
d [shape=triangle]
d -> c [
label=<
<TABLE>
<TR>
<TD BGCOLOR="red" WIDTH="10"> </TD>
<TD>Edge labels<BR/>also</TD>
<TD BGCOLOR="blue" WIDTH="10"> </TD>
</TR>
</TABLE>
>
]
}

属性

属性是通过name=value形式来设置的. 节点与边线的属性需要放在[]方括号中.

一个展示属性写法以及属性能做些什么的例子

1
2
3
4
5
6
7
8
9
10
11
12
13
14
15
digraph G {
size ="4,4"; //设置图形尺寸为4英寸长宽
方形节点 [shape=box]; /*这是一种注释写法*/
方形节点 -> 上面是加粗线 [style=bold];
上面是加粗线 -> 和下面的对比;
方形节点 -> 上面是虚线 [style=dotted];
方形节点 -> 重量更大导致垂直指下的节点[weight=4];
"和下面的对比" -> { make_string; 上面是有标签的红线} //可以一次连接多个节点
上面是虚线 -> make_string;
edge [color=red]; // 这是另一种注释写法
方形节点 -> 上面是有标签的红线 [label="100 times"];
make_string [label="多行\n标签"];
node [shape=box,style=filled,color=".7 .3 1.0"];
和下面的对比 -> 在节点默认属性改变后才创建的节点;
}

常用属性的默认值

的默认属性:

  • labeljust="c"
  • labelloc="b" (簇的默认值为"t")
  • clusterrank="local"
  • compound=false
  • rankdir=TB

节点的默认属性是:

  • shape=ellipse
  • width=0.75
  • height=0.5
  • 标签为节点名
  • labelloc="c"

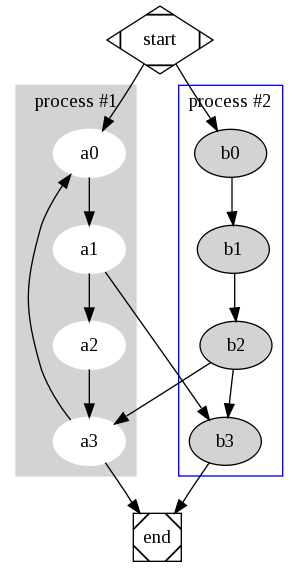
Cluster (簇)

簇是一种会将属于这个子图的元素都框在一个长方形里的特殊子图. 如果一个子图的名字以cluster开头那么这个子图就会被认为是一个簇 (这个判定方式好暴力😅). 但是如果在根图中设置了clusterrank=none那么簇这种特殊的子图会被禁用.

这里我又要来吐槽graphviz开发组了! 看看他们是怎么说明clusterrank这个属性的:

the modes "global" and "none" appear to be identical, both turning off the special cluster processing.

为什么官方开发组都在用这种表推测的语气啊... 🙃这也太迷惑了

如果根图中设置了compound=true, 那么dot布局允许用边线连接节点和簇的边框. 这是通过设置边线的lheadltail属性来实现的. 这样以来, 虽然边线仍然是从一个节点指向另一个节点的, 但是设置了lhead或者ltail的一侧会看起来像是被簇的边框盖住了.

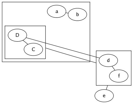
一个使用簇, 并且有连接节点与簇的边线的例子

1
2
3
4
5
6
7
8
9
10
11
12
13
14
15
16
17
18
digraph G {
compound=true;
subgraph cluster0 {
a -> b;
a -> c;
b -> d;
c -> d;
}
subgraph cluster1 {
e -> g;
e -> f;
}
b -> f [lhead=cluster1];
d -> e;
c -> g [ltail=cluster0,lhead=cluster1];
c -> e [ltail=cluster0];
d -> h;
}

高级语法

以下是几条我认为用来提示图的美观程度的语法.

优化布局

知道了上面提到的布局的原理我们就可以进行一些更个性化的布局, 比如设置rankdir可以设置节点的排布方向, 默认为TB, top to bottom, 也就是从上到下. 可选值有TB, BT, LR, RL.

再比如设置节点的rank属性我们可以改变节点的布局. rank的可选值有: same, min, source, max, sink.

一个展示设置rank属性能达到什么效果的例子 (代码和图形都截自旧版文档, 因为代码没给全我也懒得写, 就这么放着吧👍)

Node Port (节点端口)

Graphviz提供了节点端口来指定边线应连接到节点的什么位置. 这提供了更高的个性化. 当没有被指定节点端口时边线是指向节点中心并在节点边界处被截断的.

一共有两种节点端口:

  • 基于方位的8个端口: n,ne, e, se, s, sw, w, nw
  • record结构的端口: shape=record的节点可以以记录结构来定义端口. 而因为有<TABLE>元素的HTML-like标签与可以作为shape=record的扩展甚至替代品, 每个<TD>元素的PORT属性也都提供了一个到该单元格的端口名.
1
2
3
4
5
6
7
8
9
10
11
digraph G {
node [shape = box]
node0:n -> node1:n [label = "n"]
node2:ne -> node3:ne [label = "ne"]
node4:e -> node5:e [label = "e"]
node6:se -> node7:se [label = "se"]
node8:s -> node9:s [label = "s"]
node10:sw -> node11:sw [label = "sw"]
node12:w -> node13:w [label = "w"]
node14:nw -> node15:nw [label = "nw"]
}

Concentrators (边线合并)

在根图中设置concentrate=true将允许边线融合来避免图变得一团乱麻.

边线合并的条件是:

  • 他们的方向相同
  • 他们有相同的起点或终点
  • 他们的长度大于1

相关工具

VSC的dot语言支持插件

我最喜欢的画graphviz图的工具是VSC里的Graphviz(dot)语言支持插件, 是的它只支持dot布局. 虽然也可以用graph来声明顶层图, 但绘制出来的仍然是有向图🤦‍♂ 不过无伤大雅, 我基本只画dot布局的图.

VSC里也有提供直接在markdown文档中渲染graphviz的dot布局图的插件, 不过我觉得这样的兼容性太低, 没有这个插件的人只会看到一串代码, 因此我选择的是一个能提供DOT语法高亮, 能提供自动刷新的预览图, 能生成svg图的插件. 只要把这个svg插入markdown就能在文档看到graphviz图了, 而每次更改图片后只需要覆盖原本的svg即可更新md文档中的图, 也很方便的👍

在线编辑器

也有很多在线网站提供在线绘制graphviz图的服务, 上网一搜就有, 不过我感觉做得都半斤八两, 体验不算好, 我认为只能拿来救急用, 因此也不给出推荐了.

💡 实际上有些工具绘制出的图都有细微风格差异, 你可以挨个体验出一个最喜欢的风格的工具.

不过比较有意思的是这个sketchviz, 绘制出的是手绘风的图.

感谢您的认可!